Salud Mental 2015;

ISSN: 0185-3325

DOI: 10.17711/SM.0185-3325.2015.051

Recibido primera versión: 6 de noviembre de 2013, Segunda versión: 5 de noviembre de 2014. Aceptado: 19 de enero de 2015.

Suicidios en menores de 20 años. México 1998-2011

Felipe S. Sánchez-Cervantes 1 , Reyna E Serrano-González 2 , María E Márquez-Caraveo 3


1 Dirección General Adjunta de Epidemiología, Secretaría de Salud, México D.F.

2 Instituto Mexicano del Seguro Social, Delegación Méx-Ote., Edo. de México.

3 División de Investigación, Hospital Psiquiátrico Infantil “Dr. Juan N. Navarro”, Secretaría de Salud, México D.F.

Correspondencia: Felipe Salvador Sánchez Cervantes. Calle Francisco de P. Miranda 177, Unidad Lomas de Plateros, Álvaro Obregón, 01480, México, DF. Tel: 5337 - 1719. E-mail: felipe5407@yahoo.com.mx


Abstract

Introduction. During the last decade, an increase in children and adolescents’ completed suicide has been reported nationally and internationally. Psychiatric disorders, family circumstances and sociocultural influences are associated risk factors.

Objective. To describe suicidal tendency in children and adolescents during 1998-2011 in Mexico.

Method. National Data Health Records on mortality in children and adolescents younger than 20 years between from the year 1998 to 2011 were analyzed. Rates and indices were calculated using population projections from the National Population Council. The Truncated Trend of Standardized Mortality, change rate and the Years of Life Lost Index were calculated.

Results. In the 5 to 19 year group population, the completed suicide deaths accounted for 7% of the external cause injuries; the male-female ratio was 2.2:1. Overall, the tendency increased from 18.5 to 31.9 by 106. Hanging was the method most often employed. The percentage of change was greater in women with 6%. The county with the highest trend was Hidalgo with 17.2%. In 2011, Tabasco was the county with the highest index of years lost by suicide with 67%.

Discussion and conclusion. The increase in completed suicide in the adolescent’s group, the hanging method, the low socioeconomic status and the problems with the registry’s death system are data that have also been reported by other authors. The suicide mortality trend has increased. Hanging was the preferred method nationally. A deficient recording system remains an unresolved issue.

Key words: Suicide, adolescent, trends, methods, Mexico.

Resumen

Introducción. Durante la última década se ha reportado un incremento de suicidios en niños y adolescentes a nivel nacional e internacional. Los factores de riesgo asociados son trastornos psiquiátricos, circunstancias familiares e influencias socioculturales.

Objetivo. Describir el comportamiento del suicidio consumado en menores de 20 años en el periodo 1998-2011 en México.

Método. Se analizaron las bases de defunciones del Sistema Nacional de Información en Salud y las proyecciones de población del Consejo Nacional de Población de 1998 a 2011. Se calcularon las tasas truncadas de mortalidad estandarizada por edad, la velocidad de cambio y el índice de años de vida perdidos.

Resultados. En la población de cinco a 19 años, el suicidio representó el 7% de las muertes por lesiones de causa externa; la razón hombre/mujer fue de 2.2:1. En general, la tendencia aumentó de 18.5 a 31.9 por 106. El método más empleado fue el ahorcamiento con el 75.7%. Las mujeres presentaron el mayor porcentaje de cambio con el 6%. El estado de Hidalgo presentó una mayor tasa con 17.2%. En 2011, el mayor índice de años de vida perdidos por suicidio se presentó en Tabasco con 67%.

Discusión y conclusión. Los resultados obtenidos, como el incremento del suicidio en adolescentes, el método por ahorcamiento, las malas condiciones socioeconómicas y los problemas de registro de las muertes, son datos obtenidos y que coinciden con lo reportado por otros autores. La tendencia de la mortalidad por suicidios se ha incrementado. El método por ahorcamiento ocupa el primer lugar a nivel nacional. El subregistro en sistemas de información es un problema sin resolverse.

Palabras clave: Suicidio, adolescentes, tendencias, métodos, México.




Introducción

El suicidio representa el componente más grave de un conjunto de espectros no continuos y heterogéneos de comportamientos, que se engloban bajo el término de conducta suicida. Este concepto incluye a las autolesiones, la ideación suicida, la planeación, los intentos y el suicidio consumado. Estos comportamientos pueden o no estar relacionados entre sí, dependiendo del contexto en que se estudien.1 Este trabajo se enfoca exclusivamente en el suicidio consumado.2,3

La Organización Mundial de la Salud ha reportado el incremento del suicidio en adolescentes a partir de 1990, siendo en algunos países la segunda o tercera causa de muerte.2,4,5,6 En Europa del Este, el suicidio en adolescentes es más frecuente en la Unión Soviética. En Europa Occidental, Francia y Finlandia registraron las tasas más elevadas del mundo, mientras que Grecia y España presentaron las tasas más bajas.7,8,9 La OMS, en su informe “La Salud en el Mundo 2000” clasificó a México como el país con el mayor porcentaje de cambio anualizado (PCA) con el 61.9% en el periodo 81-83/93-95, por arriba de India, Brasil y la Federación Rusa.4 De 1990 a 2000 el suicidio se incrementó en un 150% en el grupo de cinco a 14 años y en un 74% en el grupo de 15 a 24 años, cifras que representaron el mayor incremento entre 28 países investigados.10,11,12 A partir de encuestas representativas nacionales y metropolitanas, Borges et al., situaron el suicidio como tercera causa de muerte en adolescentes de 15 a 19 años y como la quinta en menores de 15 años.13 En nuestro país, el registro de esta causa de muerte en el grupo de 10 a 14 años data de los años treinta, pero hasta la década de los setenta se han reportado los primeros suicidios en población de menor edad (cinco a 14 años).14,15

El reporte de las tendencias suicidas en niños pequeños es escaso e inconsistente y se sugiere que el subreporte parental, la incorrecta clasificación de suicidios como “accidentes” como lo menciona McIntire (1997, citado por Tishler, 2007) y nociones previas de “inmadurez cognoscitiva” han contribuido a subdevaluar este fenómeno. Se destaca que, sea la intención de provocarse autolesión o muerte lo que define el comportamiento suicida en los menores, es independiente de la habilidad cognoscitiva para dimensionar finalidad, letalidad o desenlace del acto (Tishler, 2007).16

Entre los factores detonantes de la conducta suicida reportados en la bibliografía se citan a) Los acontecimientos dolorosos como el divorcio de los padres, la pérdida de un ser querido, el abandono, etc.17,18,19,20 b) Factores de riesgo consistentes como los trastornos psiquiátricos,21,22,23 agresividad, impulsividad, dificultad para solucionar problemas, alta reactividad emocional, historia familiar de problemas psiquiátricos y c) La adversidad en la niñez como institucionalización, abuso sexual, físico o victimización escolar bullying y ciberbullying.19,21,24 Recientemente, se propone un modelo que incluye factores psicosociales de riesgo y protección, así como la presencia de eventos estresantes en el comportamiento suicida (Nock, 2013).

Respecto al método por el cual se provoca la muerte por suicidio, datos internacionales refieren que el sexo masculino emplea con mayor frecuencia el disparo por arma de fuego seguido del ahorcamiento, el envenenamiento y los accidentes en vehículo de motor. En contraste, las mujeres utilizan más la sobredosis de drogas y medicamentos, las autolesiones y se identificó recientemente el uso de arma de fuego.7,25,26 En México, el método más empleado ha sido el ahorcamiento en ambos sexos, en segundo lugar para los hombres el disparo con arma de fuego y en las mujeres el envenenamiento por plaguicidas.1,12,13,27 De acuerdo a la distribución geográfica, las entidades con mayores tasas de suicidio en menores de 20 años en 2004 fueron Durango, Yucatán, Nuevo León, Distrito Federal y Chihuahua, con una razón de mortalidad hombre/mujer de 2.5:128 y por lugar de ocurrencia ocho de cada 10 suicidios se realizaron en casa habitación.28,29 No obstante, se conoce poco de esta problemática a lo largo del tiempo.

Objetivo

Conocer la distribución, tendencia, velocidad de cambio y años de vida perdidos por suicidio en menores de 20 años, según sexo, método utilizado y entidad federativa en el periodo de 1998 a 2011.

Método

Se realizó un análisis retrospectivo de las bases de defunciones de 1998 a 2011, la fuente fue el Sistema Nacional de Información en Salud (SINAIS) de la Secretaría de Salud de México. Se utilizaron las proyecciones de población del Consejo Nacional de Población (CONAPO) 1998-2011.

Para obtener las tasas truncadas de mortalidad estandarizada por edad (TTMEE) se utilizó el método directo, la población utilizada fue la población estándar mundial modificada por Doll et al.30 Se calcularon las tasas truncadas por tratarse de un grupo de población reducido (cinco a 19 años). El denominador fue la población de cinco a 19 años y el cociente se multiplicó por millón de habitantes (106). Con el propósito de conocer la magnitud y distribución del evento a nivel nacional, la mortalidad se clasificó en cuartiles: muy alta, alta, media y baja. Para los municipios se calculó la tasa de mortalidad media anualizada (TMMA), el año de corte fue el 2005. El porcentaje de cambio anualizado (PCA) se calculó por el método de regresión de Poisson. Esta prueba indica el aumento o disminución del suicidio en un periodo de tiempo, cuando el resultado es (+) mayor de 1.0 hay un aumento del suicidio, cuando es (-) o menor de 1.0 hay una disminución del evento. El índice de años de vida potencialmente perdidos (IAVPP) se calculó para conocer el porcentaje de muertes prematuras de una entidad con respecto a la media nacional; los resultados mayores de 1.0 indican el excedente de muertes prematuras. Los códigos que se incluyeron fueron de la categoría X60 a la X84 de la Clasificación Internacional de Enfermedades.31 Para los grupos por códigos se tomó la clasificación utilizada por el Instituto Nacional de Estadística y Geografía.32 Grupo I: Envenenamiento por medicamentos, drogas y sustancias biológicas (X60–X64), en lo sucesivo “medicamentos”; Grupo II: Envenenamiento por gases, vapores, alcohol y plaguicidas (X65–X69), “plaguicidas”; Grupo III: Ahorcamiento, estrangulamiento o sofocación (X70), “ahorcamiento”; Grupo IV: Disparo de arma de fuego (X72-X74); Grupo V: Objeto cortante (X78); Grupo VI: Saltar de un lugar elevado (X80); Grupo VII: Arrojarse o colocarse delante de objeto en movimiento (X81) y Grupo VIII: Todos los demás (X71, X75, X76, X77, X79, X82, X83, X84).

Las fórmulas para sacar el porcentaje de diferencia, puntos porcentuales y tasa media anualizada son las siguientes:


ver

donde: PD = Porcentaje de diferencia, DR = Dato reciente, DA = Dato anterior, PP = Puntos porcentuales, TMA = Tasa Media Anualizada, TD = Total de defunciones del periodo, PI = Población Intermedia del periodo, TA=Total de años del periodo.

Para el análisis de los datos se depuraron las bases de defunción excluyendo los registros sin información en las variables de edad, sexo, lugar de residencia o con residencia en el extranjero. Los programas estadísticos utilizados fueron SPSS V.12 y STATA V.12.

Resultados

En el periodo de estudio se registraron 146 295 defunciones por lesión de causa externa (LCE) en menores de 20 años, el 7% correspondieron a suicidios (n = 10 222). La proporción con respecto a las muertes por LCE fue de 0.07 (cuadro 1). Del total de muertes por suicidio, el 68.4% correspondió a hombres y 31.6% a mujeres. La razón hombre/mujer fue de 2.2:1. El suicidio presentó un crecimiento porcentual del 66% con un incremento de cuatro puntos porcentuales (no incluidos en cuadros). La edad promedio a la muerte aumentó un año en ambos sexos, de 17 a 18 años en hombres y de 16 a 17 años en mujeres (cuadro 2). Por grupo de edad, el suicidio fue mayor en el grupo de 15 a 19 años con 78.2%, seguido del grupo de 10 a 14 años, 21.5% y el de cinco a nueve años con 0.3%.

Mortalidad por suicidios en hombres y mujeres menores de 20 años. México 1998 - 2011.
ver
Porcentaje de cambio anualizado (PCA) según método de suicidio por sexo en menores de 20 años. México 1998–2011.
ver

A nivel nacional, los métodos preferentemente empleados fueron: el ahorcamiento 75.7%, el disparo con arma de fuego 11.7% y los plaguicidas 8.6%. Las entidades federativas con mayor porcentaje de suicidios por ahorcamiento en hombres fueron: Edo. de México 12.2%, Distrito Federal 8.6%, Guanajuato 8.2%, Jalisco 7.3% y Puebla 5.0%. Para el sexo femenino fueron: Edo. de México 14.1%, Distrito Federal 8.7%, Jalisco 7.0%, Puebla 6.2% y Veracruz 5.9%.

En relación a la TTMMA por suicidios en México, se obtuvo un valor de 22.5, esto significa que en promedio cada año mueren 22 personas menores de 20 años por suicidio por cada millón de habitantes de cinco a 19 años. En las diferencias por sexo se observa un valor de 30.3 para los hombres y 14.4 por 106 habitantes para las mujeres.

La tendencia del suicidio de 1998 a 2011, de acuerdo a las TTMEE en hombres fue aumentando de 26.6 a 42.5, con un incremento de 16 puntos porcentuales. En mujeres, la tasa se elevó de 10.4 a 21.1 por 106 habitantes, es decir, 11 puntos porcentuales (cuadro 2).

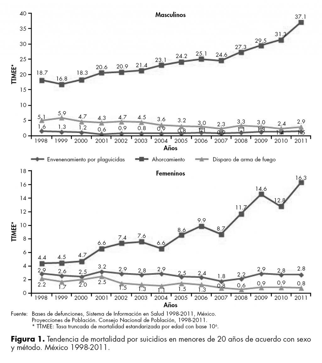
Con respecto al método utilizado y las TTMEE en hombres, el ahorcamiento aumentó de 18.7 a 37.1 (18 puntos porcentuales), el disparo con arma de fuego disminuyó de 5.1 a 2.9 (dos puntos porcentuales) y en el envenenamiento por plaguicidas no se observaron cambios (1.6 y 1.5 en 1998 y 2011 por 106 habitantes, respectivamente). El resto de los métodos fue menor a uno.

En el sexo femenino se observó que el método con mayor tendencia positiva fue el ahorcamiento, con un incremento de 4.4 a 16.3 (12 puntos porcentuales), seguido por el envenenamiento por plaguicidas, que se mantuvo constante con tasa de 2.9 y 2.8. El método por disparo con arma de fuego presentó una disminución de 2.2 a 0.8 (un punto porcentual) en 1998 y 2011, respectivamente (cuadro 2, figura 1).

Tendencia de mortalidad por suicidios en menores de 20 años de acuerdo con sexo y método. México 1998-2011.
ver

El PCA exhibió el mayor cambio significativo (+) hacia el incremento en las mujeres con el 6%, en contraste al 3.9% obtenido para los hombres. De acuerdo al método, el ahorcamiento fue el de mayor cambio (+) significativo en ambos sexos con 5.6% para hombres y 10.9% para mujeres. El resto de los métodos fueron (+) pero no significativos para las mujeres (cuadro 2).

De acuerdo con la clasificación en cuartiles de las TTMEE respecto a los principales métodos de suicidio por entidad federativa en el 2011, se observó que el ahorcamiento presentó las tasas más altas en los siguientes Estados: Tabasco, 47.21; Yucatán, 45.51 e Hidalgo 43.45. El envenenamiento por plaguicidas se presentó conforme a lo siguiente: Guerrero, 8.56; Tlaxcala, 8.0; Campeche, 7.71 y Chiapas, 7.67 y finalmente, el disparo con arma de fuego se observó de la siguiente manera: Querétaro, 6.90; Zacatecas, 6.43 y Baja California Sur, 5.22 por 106 habitantes (figura 2 y cuadro 3).

Principales métodos de suicidio por entidad en menores de 20 años. México 2011.
ver
Tasa de mortalidad según método de suicidio por entidad federativa en menores de 20 años. México 2011.
ver

Por entidad federativa el PCA (+) significativo lo presentaron 12 Estados, los más altos fueron Hidalgo 17.2%, Yucatán 10.6% y Aguascalientes 8.7%. Por Entidad, en 11 Estados los cambios fueron (+) significativos para el caso de los hombres: Hidalgo 27.6%, Zacatecas 13.5% y Sinaloa 12.0%. En las mujeres se registraron cambios (+) significativos, en ocho Estados, siendo los tres principales: Querétaro 14.1%, San Luis Potosí 11.5% e Hidalgo 11.1% (cuadro 4).

Porcentaje de cambio anualizado del suicidio por entidad federativa y sexo en menores de 20 años. México 2011.
ver

Al analizar los municipios con las mayores TMMA destaca el municipio de Medellín en Veracruz, con 188.4; Apizaco, Tlaxcala, con 17.4; Ciudad del Carmen, Campeche, con 16.1; León, Guanajuato, con 10.9; Cabo San Lucas, Baja California Sur; Durango, Durango; Benito Juárez, Quintana Roo, todos con 9.4 por 106 habitantes (cuadro 5).

Principal municipio/delegación por entidad con mayor mortalidad por suicidio menores de 20 años,  México 1988–2011.
ver

En cuanto a las variables sociodemográficas analizadas, se encontró que, con relación al estado civil, el 86% eran solteros, 8.6% casados y el 5.4% no aplicó o se desconoce. En relación a las TTMEE, los solteros mostraron una tendencia positiva (a la alza), pasando de 17.7 a 29.6 por 106 habitantes. Aquellos con primaria incompleta presentaron un incremento en las TTMEE, de 0.89 a 4.1; y en los que tenían bachillerato completo la tasa pasó de 2.7 a 5.8 por 106 habitantes. En el ámbito laboral, las TTMEE mostraron una tendencia ascendente para quienes trabajaban, que cambió de 6.7 a 11.1 por 106 habitantes.

Para el IAVPP en el 2011, las entidades con mayor porcentaje de muertes prematuras fueron: Tabasco (1.67), Hidalgo (1.59) y Guanajuato (1.53) ( figura 3).

Índice de años perdidos por suicidios por entidad federativa en menores de 20 años. México 2011.
ver

La población más afectada en 2011 fue la de 15 a 19 años, con una tasa específica por edad de 77.3. El grupo de edad de 10 a 14 años obtuvo una tasa de 22.0 por 106 habitantes y las LCE fueron la tercera causa de muerte ese año para ambos grupos. Por lugar de ocurrencia, el 80% se llevó a cabo en casa habitación, 3% en la vía pública y 17% en otros lugares.

En relación a las necropsias de las 10 222 defunciones por suicidio, al 84.7% se les realizó la necropsia. De éstas, el 63.3% fueron certificadas por un médico forense, legista o personal autorizado por la Secretaría de Salud y 36.7% por médicos sin dicha especialización.

Discusión y conclusión

En términos generales la mortalidad por suicidios en niños y adolescentes mostró una tendencia ascendente, con predominio del sexo masculino, dato similar a lo que se reporta a nivel internacional, exceptuando a China, donde la razón hombre/mujer se invierte.33,34,35,36,37 Es importante mencionar que en México el suicidio en menores de 10 años de edad es poco frecuente, se han registrado 115 suicidios de 1979 a 2002. Cabe resaltar que en el periodo 2003-2011 no hubo registros de suicidios en este grupo de edad. Otro factor que contribuye al subregistro es cuando los niños o adolescentes padecen una enfermedad terminal y dan fin a su vida mediante el suicidio, en donde los médicos reportan la enfermedad y no la causa externa (suicidio), del mismo modo a como lo plantea Ávila-Burgos (2010), en México, generalmente se registra el tipo de lesión pero no la causa externa.38 Es necesario realizar estudios dirigidos a conocer las causas y la magnitud del subregistro donde se incluyan otras fuentes como la policía judicial y el servicio médico forense.

El problema del subregistro no es exclusivo del suicidio en un grupo de edad específico, ni del ámbito exclusivo de la institución de salud. El problema está dado por diversas razones familiares (estigma), administrativas y de los sistemas de registro bajo la responsabilidad de autoridades médicas y/o judiciales en el dictamen de la causa de muerte o el “mal llenado” del certificado de defunción. Al respecto, Freuchen et al., en un estudio en Noruega, basado en la autopsia psicológica, encontró dificultades para determinar si la causa de muerte era suicidio o accidente.39

Con relación a la ausencia de registros en menores de 12 años, nuestros datos son congruentes con Tishler (2007) quien resalta la escasez de datos e inconsistencia de los mismos en niños pequeños así como su incorrecta clasificación como “accidentes”. En México, las LCE, incluyendo el suicidio, están subregistradas a nivel de hospitales públicos. Ávila-Burgos (2010) destaca que en el Instituto Mexicano del Seguro Social (IMSS) las bases de egresos hospitalarios no contienen información de la causa externa; en el Instituto de Seguridad y Servicios Sociales de los Trabajadores del Estado (ISSSTE) no hay bases de atención ambulatoria (consulta externa) para las lesiones y en la Secretaría de Salud “sólo se pudo analizar el periodo 2003-2006” (y no hasta 2007) ya que la información sólo estuvo disponible para ese periodo. En la práctica clínica privada, debido a la “fragmentación y poca regulación” este sector no aportó datos.

El riesgo de suicidio aumenta con la edad afectando más a los adolescentes en la etapa tardía.40,41,42,43 En este estudio, la población más afectada correspondió a los adolescentes tardíos (15 a 19 años).

Otro aspecto importante es la falta de confiabilidad en los datos del certificado en casos de suicidio. Por ejemplo, se considera que para hacer un dictamen preciso de muerte por suicidio, la necropsia debe realizarse por personal médico especializado apegado a un protocolo establecido. En este estudio se encontró que las necropsias certificadas por médicos no forenses o legistas fue del 36.7%, más las necropsias no realizadas 15.3% suman más del 50% de la información que estaría en duda su confiabilidad.

En este estudio, el método más utilizado fue el ahorcamiento (76%), no se encontraron variaciones en las diferentes regiones y estados del país como lo reportan otros autores a nivel internacional.44,45 Como lo mencionan Beautrais, Dervic y Pompili entre otros,17,33,36,46,47 el ahorcamiento es el método más utilizado por ser económico, de fácil instalación y no requerir de una planeación laboriosa; aunque es de letalidad más baja que otros métodos. En México, no hay estudios que indiquen las causas por las que este método es el más utilizado tanto en hombres como en mujeres.

El método por disparo con arma de fuego tiene poco uso en nuestro país, a diferencia de otros como E.U.A. donde es la principal forma de suicidio.17,21,34 No obstante, este método se empleó con mayor frecuencia en los Estados de Zacatecas, Baja California Sur y Sonora.

El método por envenenamiento por plaguicidas presentó una tendencia estable. Los Estados con las tasas más altas fueron Guerrero, Tlaxcala, Campeche y Chiapas ( figura 1). Esto no significa que el método sea menos empleado, sino probablemente sea el más utilizado y dependiendo del agente, dosis y tiempo transcurrido entre la ingesta y la atención médica, la letalidad varía, dando o no oportunidad al paciente de recibir atención médica. Un estudio reciente de Reyna et al. identificó al fosfuro de aluminio como el tóxico más usado y letal en 40 pacientes suicidas del Estado de México.48

En los 2 454 municipios existentes en México, el municipio de Medellín, Veracruz, y Apizaco, Tlaxcala, presentaron las tasas de mortalidad media anual más altas. Este resultado atípico de la tasa podría explicarse en función de que el denominador (tamaño de la población) es muy pequeño y el incremento o disminución en el numerador (muertes) lo hace muy inestable.

Con respecto al PCA por entidad, 10 Estados presentaron cambios (+) significativos. El Estado de Hidalgo llama la atención por haber tenido un crecimiento rápido colocándose en primer lugar general, y en segundo el Estado de Yucatán, ambos con un incremento mayor del 10%. ( cuadro 4).

Respecto a los factores sociodemográficos, los datos coinciden con lo observado por Borges y Benjet (2008), respecto a un riesgo mayor en los adolescentes con bajo nivel de escolaridad y los que trabajaban. El lugar de mayor ocurrencia fue la casa habitación (80%), similar a lo encontrado por otros autores.47,47,49,50,51

En este estudio observamos un porcentaje muy alto de necropsias certificadas por médicos que no pertenecían al área forense o legista, incluso en el 15% de los suicidios este procedimiento no se realizó, lo cual contribuye a generar información de baja calidad y confiabilidad incrementando el subregistro del suicidio. En otros países más avanzados en medicina forense se lleva a cabo un protocolo de estudio forense y judicial para dictaminar con certeza la causa de muerte e intencionalidad (accidente, homicidio o suicidio) como lo menciona Danielle Shaw37 en su estudio. Por lo tanto, las fuentes de información oficiales de defunciones por suicidios en México deberán tomarse con reserva y cautela al momento de interpretarlas.4,52

En un análisis reciente (Ávila-Burgos et al., 2010) de las consultas otorgadas, los egresos hospitalarios y los días de estancia hospitalaria generados por personas lesionadas que demandaron atención en las tres instituciones de salud más destacadas del país (Secretaria de Salud, IMSS e ISSSTE) entre 2003 y 2007, los autores concluyeron que respecto a las lesiones intencionales se enfrentan a un problema cuya magnitud real se desconoce.38

Limitaciones

En esta revisión se debe tener en consideración que el número de muertes por área geográfica, grupos de edad o método empleado, puede ser muy bajo y, por consiguiente, las tasas pueden generar valores inestables.

Por otra parte, la información de las bases de defunciones fue obtenida de los certificados de defunción, por lo que tienen la limitante en cuanto al número de variables de interés epidemiológico.

El suicidio en menores de 20 años de 1998 a 2011 presentó una tendencia positiva, demostrada por el incremento en las tasas, porcentaje de cambio y muertes prematuras.

En los últimos años de este estudio, el suicidio en menores de 10 años fue prácticamente nulo, dato que no coincide con los reportes en otros países. En este grupo de población el intento suicida puede ser menos obvio,23 por lo que es indispensable, en futuros análisis, evaluar las muertes “accidentales” en este grupo de edad.

Para mejorar la información deberá implementarse el Sistema de Registro de Lesiones de Causa Externa por parte de la Dirección General de Información en Salud (DGIS) en las unidades hospitalarias del sector salud; así como integrar y unificar a los sistemas de información médico–legal de los ministerios públicos y forenses a apoyar la realización de estudios dirigidos a conocer las causas del subregistro en los sistemas de información.

El método más empleado en ambos sexos fue el ahorcamiento, por lo que futuros estudios podrían profundizar en la elección de este método en los menores de 20 años en México.

Un hallazgo importante fue el uso de arma de fuego en algunos Estados de la región norte del país, quizá relacionado con la cercanía con los EUA.

La baja producción de estudios epidemiológicos del suicidio en niños y adolescentes probablemente esté relacionada con problemas éticos, financieros y administrativos que dificultan la investigación del fenómeno.

Financiamiento

Ninguno.

Conflicto de intereses

Los autores declararon no tener conflicto de intereses.

Agradecimientos

A la doctora Deidre Adriana de Jalcazari Lara residente de tercer año de la especialidad de epidemiología por su apoyo y sus comentarios al documento. A la licenciada Eva García Sánchez, del Área de Publicaciones de la DGAE, por su participación en la revisión y redacción del manuscrito.

REFERENCIAS

1.   World Health Organization. Prevention of suicide: guidelines for the formulation and implementation of national strategies. Genova, Suiza: World Health Organization; 1996.

2.   Sarracent A, Corpeño M. Comportamiento de la conducta suicida en el hospital general “Calixto García Iñiguez” (años 2000-004). [Monografía en Internet]. [Consultado 2012 julio 17]. URL: www.psiquiatricohph.sld.cu/hph0206/hph02206.htm

3.   Sánchez Loyo L, Mújica Zepeda G, Martínez Hernández L. Características sociodemográficas y psicopatológicas de pacientes con múltiples intentos de suicidio en la ciudad de Guadalajara. En: Ponencia. Jalisco: Universidad de Guadalajara; 2005.

4.   OMS (Organización Mundial de la Salud). The World Health Report 2000. Mental Health: New understanding, new hope, 2001. [Consultado 2012 julio 18]. URL:www.who.int/whr.2001

5.   Boue A, Boue A, Tarragó F, Corona H et al. Comportamiento clínico epidemiológico del intento suicida en adolescentes de la Policlínica Pedro del Toro Saad 2006–2007. Correo Científico Médico Holguín 2009;13(2):1-12.

6.   Chávez A, Medina M, Macías L. Modelo psicoeducativo para la prevención del suicidio en jóvenes. Salud Mental 2008;31:197-203.

7.   Greydanus D, Bacopoulou F, Tsalamanios E. Suicide in adolescents: A worldwide preventable tragedy. Keio J Med 2009;58(2):95-102.

8.   Ruiz-Pérez I, Olry de Labry A. El suicidio en España hoy. Gac Sanit 2006;20(1)25-31.

9.   Arán M, Gispert R, Puig X, Freitas A et al. Evolución temporal y distribución geográfica de la mortalidad por suicidio en Cataluña y España. Gac Sanit 2006;20(6)473-480.

10.   Bridge J, Goldstein T, Brent D. Adolescent suicide and suicidal behavior. J Child Psychology Psychiatry 2006;47(3-4):372-394.

11.   Puentes E, López L, Martínez T. La mortalidad por suicidios: México 1990-2001. Rev Panam Salud Publica 2004;16(2):102-109.

12.   INEGI. Estadística de los suicidios de los Estados Unidos Mexicanos, México: 2006.

13.   Borges G, Orozco R, Benjet C, Medina-Mora ME. Suicidio y conductas suicidas en México: retrospectiva y situación actual. Salud Pública Mex 2010;52(4):292-304.

14.   Secretaría de Salud (SSA). Mortalidad por suicidio. Principales causas de mortalidad general. México: 2001.

15.   Celis A, Gómez L, Armas J. Tendencias de mortalidad por traumatismos y envenenamientos en adolescentes, México 1979-1997. Salud Pública México 2003;45(supl 1):S8-S15.

16.   Tishler C, Staats N, Rodes A. Suicidal behavior in children younger than twelve: A diagnostic challenge for emergency department personnel. Academic Emergency Medicine 2007;14:810-818.

17.   Beautrais A. Child and young adolescent suicide in New Zeland. Aust New Z J Psychiatry 2001;3585:647-653.

18.   Brent D, Baugher M, Bridge J, Chen T et al. Age and sex related risk factors for adolescent suicide. J Am Acad Child Adolesc Psychiatry 1999;28:918-924.

19.   Pérez B. ¿Cómo evitar el suicidio en los adolescentes?, Sociedad Cubana de Psiquiatría [Consultado el 1 de enero de 2013]. URL disponible en: http://es.scribd.com/doc/13299393/Perez-Barrero-Sergio-P-Como-Evitar-El-Suicidio-en-Adolescentes.

20.   Biddle L, Donovan J, Hawton K, Kapur N et al. Suicide and internet. BMJ 2008;336:800-802.

21.   Nock M, Deming C, Fullerton C, Gilman S et al. Suicide among soldiers: A review of psychosocial risk and protective factors. Psychiatry 2013;76(2):97-125.

22.   Borges G, Benjet C, Medina M, Orozco R et al. Suicide ideation, plan, and attempt in the Mexican adolescent mental health survey. J Am Acad Child Adolesc Psychiatry 2008;47(1):41-52.

23.   Freuchen A, Kjelsberg E, Lundervold A, Grholt B. Differences between children and adolescents who commit suicide and their peers: A psychological autopsy of suicide victims compared to accident victims and a community simple. Child Adolescent Psychiatry Mental Health 2012;6(1):1-12.

24.   Cash S, Bridge J. Epidemiology of youth suicide and suicidal behavior. Curr Opin Pediatr 2009;21(5):613–619.

25.   Spicer R, Miller T. Suicide acts in 8 states: Incidence and case fatality rates by demographics and method. American J Public Health 2000;90(12)1885-1890.

26.   Biddle L, Brock A, Brookes S, Gunnell D. Suicide rates in young men in England and Wales in the 21st century: time trend study. BMJ | ONLINE FIRST | bmj.com 2008:1-5.

27.   Borges G, Medina-Mora M, Orozco R, Ouéda C et al. Distribución y determinantes sociodemográficos de la conducta suicida en México. Salud Mental 2009;32(5):413-425.

28.   Instituto Nacional de Estadística, Geografía e Informática (INEGI). Estadísticas de intentos de suicidios y suicidios. Boletín de estadísticas, demográficos y sociales. México: 2005.

29.   Villagómez B, Balcázar M, Paz R. Suicidio en jóvenes. Rev Fac Med, UNAM 2005;48(2):54-57.

30.   Doll R, Payne P, Waterhouse JAH. Cancer incidence in five continents, Vol. I, Ginebra, UICC: Brlin, Springer; 1996.

31.   Organización Mundial de la Salud (OMS). CIE 10. Trastornos Mentales y del comportamiento: Descripciones clínicas y pautas para el diagnóstico. Madrid: Meditor; 1992.

32.   Instituto Nacional de Estadística y Geografía. [Consultado 18 mayo 2013]. Acceso: http://www3.inegi.org.mx/sistemas/sisept/default.aspx?t=mvio38&s=est&c=22653

33.   Dervic K, Friedrich E, Oquendo M et al. Suicide in Austrian children and young adolescents aged 14 and younger. Eur Child Adolesc Psychiatr 2006;15(7):427–434.

34.   Vieweg V, Linker J, Anum E, Turf E et al. Child and adolescent suicides in Virginia: 1987 to 2003. J Child Adolescent Psychopharmacology 2005;15(4):655-663.

35.   Campi R, Barbato AD, Avanzo B, Guaiana G et al. Suicide in Italian children and adolescents. J Affective Disorders 2009;113:291–295.

36.   Pompili M, Masocco M, Vichi M, Lester D et al. Suicide amond Italian adolescents: 1970-2002.Eur Child Adolesc Psychiatry 2009;18:525–533.

37.   Shaw D, Fernandes J, Rao C. Suicide in children and adolescents: A 10-year retrospective review. American J Forensic Medicine Pathology 2005;26(4):309-315.

38.   Ávila L, Ventura C, Barroso A, Aracena B et al. Las lesiones por causa externa en México. Lecciones aprendidas y desafíos para el sistema de salud. (Perspectivas en Salud Pública, Sistemas de Salud). Ciudad de México/Cuernavaca: Instituto Nacional de Salud Pública; 2010.

39.   Freuchen A, Kjelsberg E, Grøholt B. Suicide or accident? A psychological autopsy study of suicide in youths under the age of 16 compared to deaths labeled as accidents. Child Adolesc Psychiatry Ment Health 2012;30(6):1-12.

40.   Agerbo E, Nordentoft M, Bo M. Familial, psychiatric, and socioeconomic risk factors for suicide in young people: nested case­control study. BMJ 2002;325(13):74-77.

41.   Blanes S. Conductas autolesivas en niños: Suicidio y parasuicidio. Su diferenciación. [Consultado: 3 agosto 2013]. URL Acceso: http://psicologiajuridica.org/psj213.html

42.   Ladrón de Guevara S. El desarrollo cognoscitivo como determinante del origen del concepto de muerte. Procesos Psicológicos y Sociales Vol. 2 Año 2006 No. 1. [Consultado: 3 agosto 2013]. Acceso:http://www.uv.mx/psicologia/files/2013/06/El-desarrollo-cognoscitivo.pdf

43.   Dervic K, Brent D, Oquendo M. Completed suicide in childhood. Psychiatric Clinics North America 2008;31(2):271-291.

44.   Ganz D, Sher L. Adolescent suicide in New York City: plenty of room for new research. Int J Adolesc Med Health 2011;24(2):99-104.

45.   Pitman A, Krysinska K, Osborn D, King M. Suicide in young men. Lancet 2012;379:2383-2392.

46.   Skinner R, McFaull S. Suicide among children and adolescents in Canada: trends and sex differences, 1980–2008. CMAJ 2012;184(9):1029-1034.

47.   Uzun I, Karayel F, Akyıldız E, Turan A et al. Suicide among children and adolescents in a province of Turkey. J Forensic Sci 2009;54(5):1097-1100.

48.   Reyna M, Vázquez G, Valdespino E. Revisión de la conducta suicida en el sur del Estado de México. Med Int Mex 2013;29:257-264.

49.   Portzky G, Audenaert K, Heeringen K. Suicide among adolescents: A psychological autopsy study of psychiatric, psychosocial and personality-related risk factors. Soc Psychiatry Psychiatr Epidemiol 2005;40:922–930.

50.   Holder D, James K, Bridgelal R, Bailey A et al. Suicide among adolescents in Jamaica: What do we know? West Indian Med J 2012;61(5):516-520.

51.   Cano F, Rico A, Marín R, Blanco M et al. Suicidio en menores de 26 años en Sevilla. Cuad Med Forense 2012;18(2):55-62.

52.   Breiding M, Wiersema B. Variability of undetermined manner of death classification in US. Injury Prevention 2006;12(Supl II):ii49–ii54.